Условие
Вы участвуете в необычном испытании. Есть три двери, которые ведут в три зала с вопросами. Можно открыть любую дверь, но выбор происходит случайно — вы не знаете, какая именно достанется.
А что за дверьми?
- Зал Знания — 50% вероятности попасть. Вопросы там просты, и 90% тех, кто туда попал, отвечают правильно.
- Зал Размышлений — 30% шансов. Вопросы сложнее. 70% попавших справляются.
- Зал Сомнений — редкий, 20% шанс. Вопросы почти не поддаются — лишь 50% дают верный ответ.
Вы входите в случайный зал, отвечаете на вопрос — и ваш ответ оказывается верным.
Задача
Вычислите, какова вероятность, что вы попали в Зал Знания при условии, что ответ был верным.
Решение
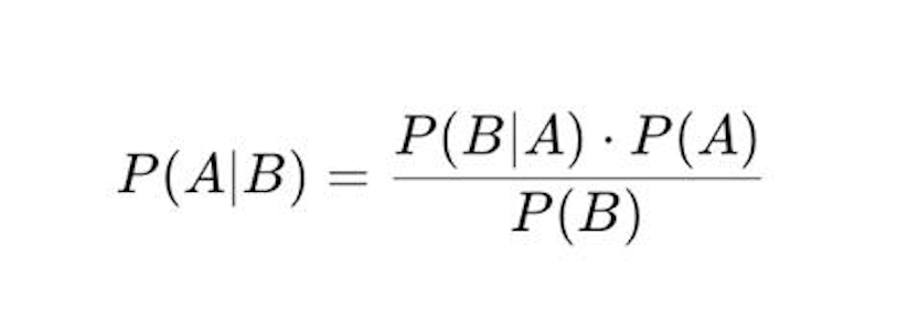
Используем стандартную формулу Байеса.
Пускай А — это вероятность попасть в Зал Знания. В — правильный ответ. Нам нужно найти Р — вероятность того, что вы были в Зале Знания при условии, что ответ был верным.

P(B|A) = 0,9 (вероятность ответить правильно в Зале Знания)
P(A) = 0,5
P(B) = вероятность ответить правильно вообще = 0,5 х 0,9 + 0,2 х 0,5 + 0,3 х 0,7 = 0,45 + 0,21 + 0,10 = 0,76
P(A|B) = (0,9 х 0,5) / 0,76 ≈ 0, 592
Ответ: ≈ 60%